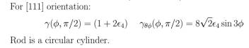
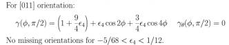
Cubic Material