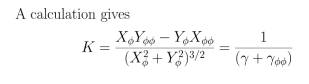
Cahn-Hoffman Xi-Vector (2-D)