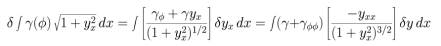
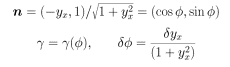
Anisotropic Gibbs-Thomson Equation