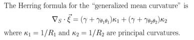
Generalized Gauss Curvature