•
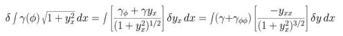
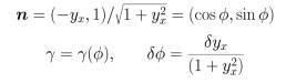
Anisotropic Gibbs-Thomson Equation
•