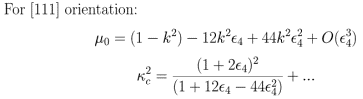
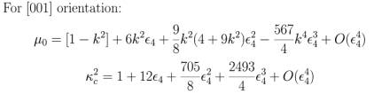
•
                   Asymptotics for |e4|<< 1