Estimate for Shape Parameter
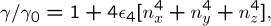
Surface tension anisotropy
g
(
n
) (cubic crystal):
n
= (n
x
,n
y
,n
z
) is the unit normal of the crystal-melt interface.
For SCN,
e
4
= 0.0055
±
0.0015 [Glicksman et al. (1986)].
For small anisotropy, the equilibrium shape is geometrically
similar to a polar plot of the surface free energy, and we have