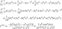
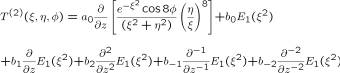
Expansion
of 4-fold Solution
Key points:
•
Fix the tip at z = P/2
•
Fix the (average) radius of curvature
•
Employ two more diffusion solutions: “anti-derivatives” (method of characteristics)