Expansion  of n-fold Solution
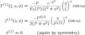
Goal: Find correction S(2) for a solution with n-fold symmetry
where the leading order solution is the Ivantsov solution as before,
and the first order solution is given by