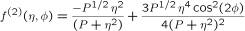
Expansion  of Horvay-Cahn Solution
At 2nd order:
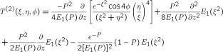
where: