Expansion
of Horvay-Cahn Solution
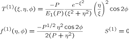
At leading order, we recover the Ivantsov solution:
At first order:
S
(1)
vanishes by symmetry:
e
®
-
e
corresponds to a rotation,
f
®
f
+
p
/2
The solution has 2-fold symmetry in
f
.