Dendritic Growth
Peclet number:
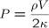
Stefan number:
Ivantsov solution [1947]: