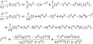
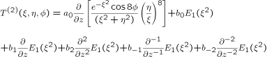
Expansion  of 4-fold Solution
Key points:
•Fix the tip at z = P/2
•Fix the (average) radius of curvature
•Employ two more diffusion solutions: “anti-derivatives” (method of characteristics)