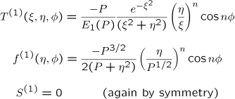
Expansion  of n-fold Solution
Goal: Find correction S(2) for a solution with n-fold symmetry
where the leading order solution is the Ivantsov solution as before, and the first order solution is given by