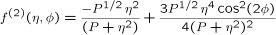
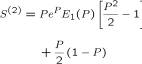
Expansion
of Horvay-Cahn Solution
At 2
nd
order:
where:
exact
2
nd
order
P = 0.01