Ivantsov Solution [1947] (axisymmetric)
Conservation of energy:                         Temperature field:
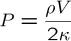
 Solid-liquid interface:
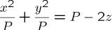
Parabolic coordinates [x, h, f]   (moving system) :