28 June 2001
8
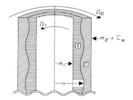
Steady Rotation
Fern and Antii – matrix plot of sequences up to 10 proteins long – GENBANK
Fern and Tony – reconstructing a genetic sequence from an incomplete sequence with gaps and deletions