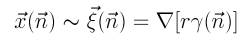
Cahn-Hoffman    -Vector
Equilibrium Shape is given by:
Force per unit length in interface:
Cahn & Hoffmann (1974)