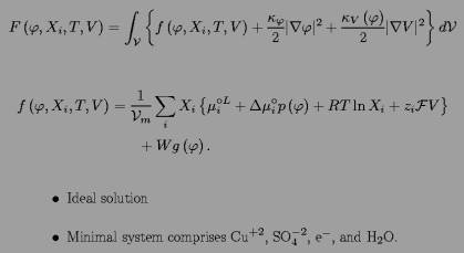
Phase-Field Model of Electrodeposition
J. Guyer, W. Boettinger, J. Warren, G. McFadden (2002)