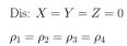
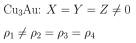
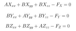
Equilibrium States in FCC