Surface Adsorption
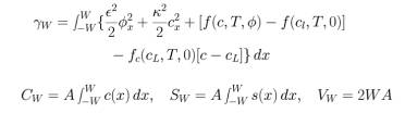
1-D equilibrium:
where
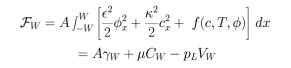
Differentiating, and using equilibrium conditions, gives
Cahn (1979), McFadden and Wheeler (2001)