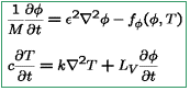
Phase-Field Equations
Governing equations:
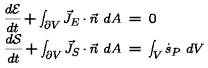
First & second laws
Require positive entropy
production
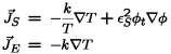
Thermodynamic derivation
Energy functionals: