Parameter Identification
• 1-D solution:
•
• Interface width:
•
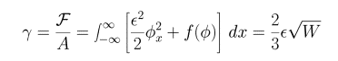
• Surface energy:
•
• Curvature-dependence (expand Laplacian):
•