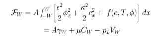
Surface Adsorption
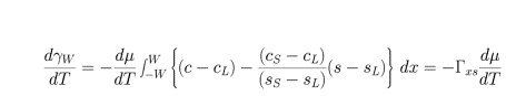
1-D equilibrium:
Differentiating, and using equilibrium conditions, gives
where
Cahn (1979), McFadden and Wheeler (2001)