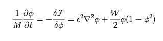
Cahn-Allen Equation
J. Cahn and S. Allen (1977)
M. Marcinkowski (1963)
• Anti-phase boundaries in BCC system
• Motion by mean curvature:
• Surface energy:
• “Non-conserved” order parameter: