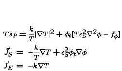
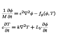
Phase-Field Equations
Governing equations:
•
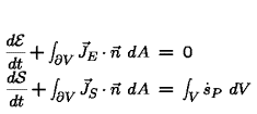
First & second laws
•
Require positive entropy
production
Penrose & Fife (1990), Fried & Gurtin (1993),
Wang et al. (1993)
Thermodynamic derivation
•
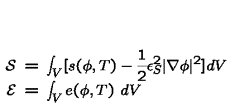
Energy functionals: