Phase-Field Model
•
Introduce the phase-
field variable:
J.S. Langer (1978)
•
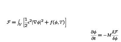
Introduce free-energy
functional:
•
Dynamics