Parameter Identification
•
1-D solution:
•
Interface width:
•
Surface energy:
•
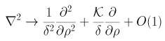
Curvature-dependence (expand Laplacian):