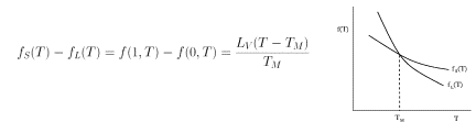
Free Energy Function