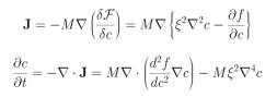
Cahn-Hilliard Equation
Cahn & Hilliard (1958)