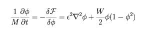
Cahn-Allen Equation
•
Description of anti-phase boundaries (APBs)
•
Motion by mean curvature:
•
Surface energy:
•
“Non-conserved” order parameter:
M. Marcinkowski (1963)
J. Cahn and S. Allen (1977)