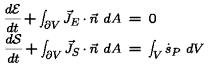
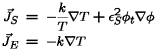
Phase-Field Equations
Governing equations:
•
First & second laws
•
Require positive entropy
production
Thermodynamic derivation
•
Energy functionals: