Cahn-Allen Equation
J. Cahn and S. Allen (1977)
M. Marcinkowski (1963)
• Description of anti-phase boundaries (APBs)
• Motion by mean curvature:
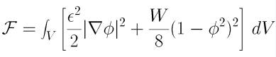
• Surface energy:
• “Non-conserved” order parameter: