Sharp Interface Formulation
Phase field
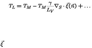
•  Sharp interface limit:
•  McFadden & Wheeler (1996)
•
•                     is a natural extension of the Cahn-Hoffman          of sharp interface theory
•
•  Cahn & Hoffman      (1972, 1974)
•
•       is normal to the         -plot:
•
•  Isothermal equilibrium shape given by
•
•  Corners form when         -plot is concave;