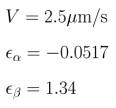
Monotectic Rod Spacing (Al-In)
JH
MJH
Num
(Predicted spacing is 4 X too small)