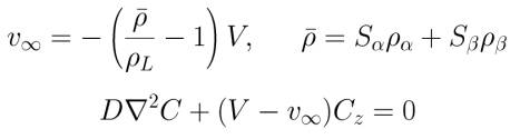
Density-Change Flow
Modified Jackson-Hunt Theory
Magnin & Trivedi [Acta Met. (1991)], Coriell et al. [JCG (1997)]
[Still separable, but no lateral transport…]